Wann Hat Matrix Keine Lösung

Losungsmenge Linearer Gleichungssysteme Eine Losung Keine Losung Unendlich Viele Losungen Youtube

Losungsmenge Linearer Gleichungssysteme Eine Losung Keine Losung Unendlich Viele Losungen Youtube

Losungsmenge Linearer Gleichungssysteme Eine Losung Keine Losung Unendlich Viele Losungen Youtube

Losungsmenge Linearer Gleichungssysteme Eine Losung Keine Losung Unendlich Viele Losungen Youtube

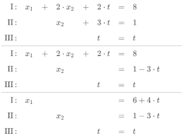
Matrix Ax B Losen Unendlich Viele Losungen Keine Losung Mathelounge

Matrix Ax B Losen Unendlich Viele Losungen Keine Losung Mathelounge

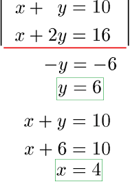
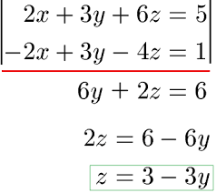
Gauss Verfahren Mit Koeffizientenmatrix Matheretter

Gauss Verfahren Mit Koeffizientenmatrix Matheretter

Gauss Verfahren Mit Koeffizientenmatrix Matheretter

Gauss Verfahren Mit Koeffizientenmatrix Matheretter

Gauss Verfahren Mit Koeffizientenmatrix Matheretter

Gauss Verfahren Mit Koeffizientenmatrix Matheretter

Gauss Verfahren Mit Koeffizientenmatrix Matheretter

Wann hat eine Funktion keine Lösung.

Wann hat matrix keine lösung. RgA m Das LGS hat keine oder unendlich viele Lösungen Die Matrix ist. Bei a 0 kann es keine Nullzeile oder Widerspruchszeile geben da man Zeilen auch täuschen darf. Die inverse Matrix A1 nn zu Ann kann existieren.

Diese Fälle untersuchen wir nun einzeln. Bei e 0 gibt es keine Lösung da Widerspruchzeile entstand. Ist die Koeffizientenmatrix singulär ihr Rang ist kleiner als n dann kann das Gleichungssystem Lösungen haben diese sind dann allerdings nicht eindeutig.

Es existiert die Inverse der Matrix. A x b A 1 A 1 A x A 1 b x A 1 b denn es gilt ja A A 1 I die identische Matrix dabei war übrigens wichtig dass wir A 1 von lins multiplizieren denn b A 1 ist nicht definiert. Um die Lösung einer Matrix zu erhalten wendet man natürlich das Gauß-Verfahren an.

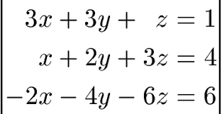
Ein inhomogenes lineares Gleichungssystem besitzt keine Lösung wenn die Koeffizienten einer der Gleichungen null sind das dazugehörige jedoch nicht null ist. Die zweite Zeile der Matrix fordert x_31. 0 0 a 2 - 4 a - 2.

Eindeutige Lösung textrangA textrangAvecb n. Ich habe mir schon einen Zahlenstrahl usw. Aber die gibt es auch doch für -1.

2 Was muss hier in dieser Aufgabe gelten damit es unendliche viele Lösungen hat. Es gibt keine Lösung wenn der Rang der Koeffizientenmatrix A nicht dem Rang der erweiterten Koeffizientenmatrix Avecb entspricht. Wenn die Koeffizientenmatrix regulär ist nur dann ist ihr Rang gleich n zwangsläufig auch der Rang der erweiterten Matrix ist das Gleichungssystem in jedem Fall eindeutig lösbar.

Lgs Mit Losung 0 0 0 Oder Keiner Losung Konstruieren Youtube

Lgs Mit Losung 0 0 0 Oder Keiner Losung Konstruieren Youtube

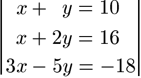
Gleichungssystem Unterbestimmt Unlosbar Unendlich Oder Uberbestimmt

Gleichungssystem Unterbestimmt Unlosbar Unendlich Oder Uberbestimmt

Gleichungssystem Unterbestimmt Unlosbar Unendlich Oder Uberbestimmt

Gleichungssystem Unterbestimmt Unlosbar Unendlich Oder Uberbestimmt

Gleichungssystem Unterbestimmt Unlosbar Unendlich Oder Uberbestimmt

Gleichungssystem Unterbestimmt Unlosbar Unendlich Oder Uberbestimmt

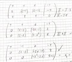
Fur Welche Werte Des Parameters T R Besitzt Das Lineare Gleichungssystem Losungen Mathelounge

Fur Welche Werte Des Parameters T R Besitzt Das Lineare Gleichungssystem Losungen Mathelounge

Gleichungssystem Losen Losungsmenge Finden Wann Ist Koeffizientenmatrix Ivertierbar Inverse Mathelounge

Gleichungssystem Losen Losungsmenge Finden Wann Ist Koeffizientenmatrix Ivertierbar Inverse Mathelounge

Schullv Dein Digitales Lernverzeichnis

Schullv Dein Digitales Lernverzeichnis

Grafisches Losen Linearer Gleichungssysteme Bettermarks

Grafisches Losen Linearer Gleichungssysteme Bettermarks

Gleichungssystem Unterbestimmt Unlosbar Unendlich Oder Uberbestimmt

Gleichungssystem Unterbestimmt Unlosbar Unendlich Oder Uberbestimmt

Losbarkeit Linearer Gleichungssysteme

Losbarkeit Linearer Gleichungssysteme

Lineares Gleichungssystem Wikipedia

Lineares Gleichungssystem Wikipedia

Lineares Gleichungssystem Wikipedia

Lineares Gleichungssystem Wikipedia

Lineares Gleichungssystem Wikipedia

Lineares Gleichungssystem Wikipedia

Gleichungssystem Unterbestimmt Unlosbar Unendlich Oder Uberbestimmt

Gleichungssystem Unterbestimmt Unlosbar Unendlich Oder Uberbestimmt

Source : pinterest.com